Skip to Main Content
Create a Website Account
- Manage notification subscriptions, save form progress and more.
Website Sign In
Government
Departments
Public Notices
Services
Businesses
Visitors
Residents
Search
Home
Departments
Parks and Recreation
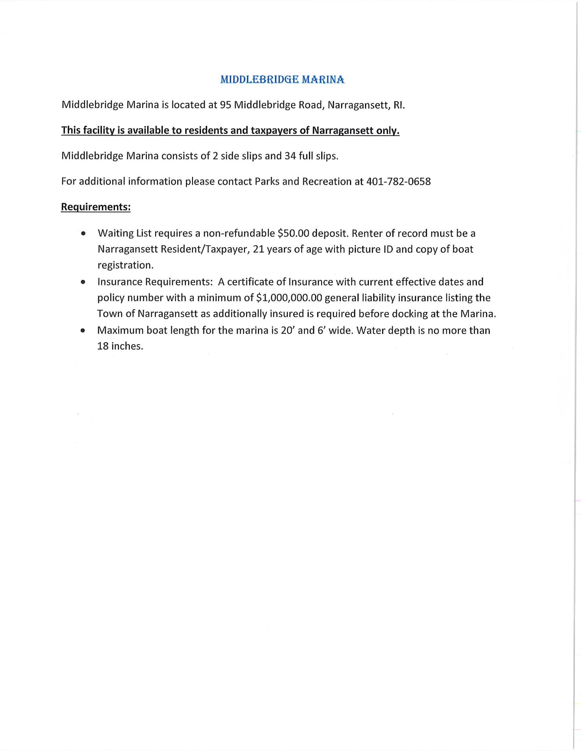
Middlebridge Marina
Middlebridge Marina
URI Woman's Crew
Team Website
Middlebridge Marina
Middlebridge Marina Waiting List
Wait List Application
Middlebridge Waiting List Application
MB Wait List 2025_1
MB Wait List 2025_2
MB Wait List 2025_3
MB Wait List 2025_4
Upcoming Events
Bench Program
Clarke Center
Community Center
Narragansett Senior Association
Events at the Community Center
Field and Court Fee Schedule
Forms
Gazebo
Kinney Bungalow
Middlebridge Marina
Narragansett Camps
Narragansett Town Beach
North Beach Club House
Recreation Programs
Road Races
Specialty Camp
Facilities/Locations
Report a Concern
Submit a concern to the Town
CodeRed
Sign up for emergency alerts
Notify Me®
Receive notifications
Tax Assessor
Find important tax information
Online Payments
Pay your bills online
Agendas & Minutes
Find and view meeting information
Social Media
Town social media accounts
Government Websites by
CivicPlus®
Loading
Loading
Arrow Left
Arrow Right
[]
Slideshow Left Arrow
Slideshow Right Arrow